BusphotoBUSPHOTO

Picture Statistics

453 KB


Picture ID:99104
File Size:453 KB
Author:max15
Publication Date:27.01.2014 22:53 EET
Days in Database:4384
Unique views:312
Comments:0

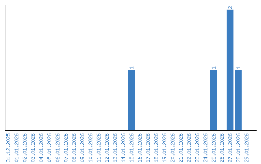
Viewing statistics by date