BusphotoBUSPHOTO

Picture Statistics

564 KB


Picture ID:97755
File Size:564 KB
Author:Mik
Publication Date:08.01.2014 22:08 EET
Days in Database:4410
Unique views:530
Comments:4

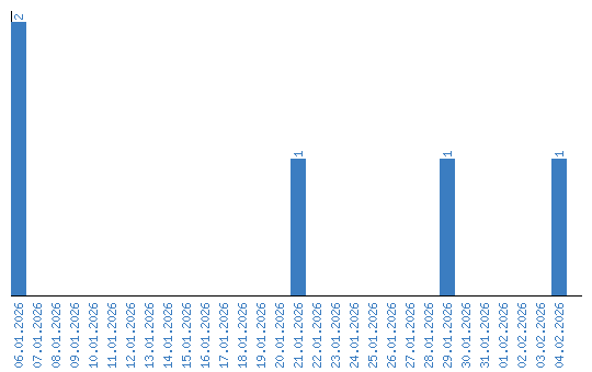
Viewing statistics by date