BusphotoBUSPHOTO

Picture Statistics

349 KB


Picture ID:9617
File Size:349 KB
Author:timoffey.dp
Publication Date:07.07.2011 22:28 EET
Days in Database:5327
Unique views:307
Comments:0

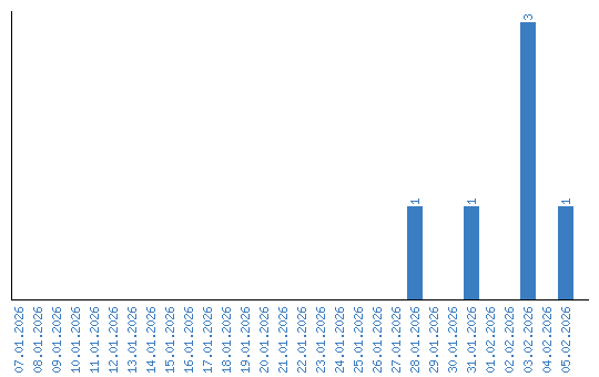
Viewing statistics by date