BusphotoBUSPHOTO

Picture Statistics

476 KB


Picture ID:85649
File Size:476 KB
Author:maverick74
Publication Date:26.08.2013 07:13 EET
Days in Database:4549
Unique views:275
Comments:0

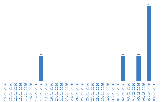
Viewing statistics by date