BusphotoBUSPHOTO

Picture Statistics

2383 KB


Picture ID:849790
File Size:2383 KB
Author:Balu_Photos
Publication Date:10.12.2025 13:27 EET
Days in Database:58
Unique views:234
Comments:0

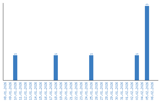
Viewing statistics by date