BusphotoBUSPHOTO

Picture Statistics

575 KB


Picture ID:836991
File Size:575 KB
Author:German Perfectionist
Publication Date:09.11.2025 13:47 EET
Days in Database:85
Unique views:123
Comments:0

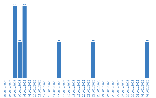
Viewing statistics by date