BusphotoBUSPHOTO

Picture Statistics

12078 KB


Picture ID:835622
File Size:12078 KB
Author:Barnii19.23
Publication Date:06.11.2025 22:18 EET
Days in Database:43
Unique views:74
Comments:0

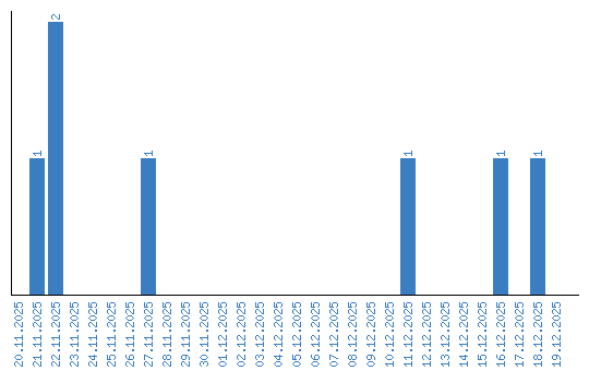
Viewing statistics by date