BusphotoBUSPHOTO

Picture Statistics

409 KB


Picture ID:834271
File Size:409 KB
Author:POP
Publication Date:03.11.2025 20:59 EET
Days in Database:51
Unique views:43
Comments:0

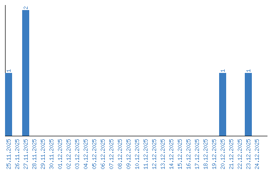
Viewing statistics by date