BusphotoBUSPHOTO

Picture Statistics

7088 KB


Picture ID:834049
File Size:7088 KB
Author:Cina
Publication Date:03.11.2025 00:00 EET
Days in Database:111
Unique views:94
Comments:0

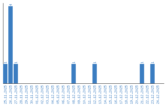
Viewing statistics by date