BusphotoBUSPHOTO

Picture Statistics

2133 KB


Picture ID:828371
File Size:2133 KB
Author:German Perfectionist
Publication Date:22.10.2025 20:49 EET
Days in Database:101
Unique views:105
Comments:0

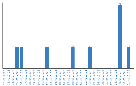
Viewing statistics by date