BusphotoBUSPHOTO

Iнфармацыя аб малюнку

314 КБ


Ідэнтыфікатар малюнка:826407
Памер файла:314 КБ
Аўтар:Артём Дмитренко
Апублікавана:18.10.2025 21:04 EET
Знаходзіцца на сайце, дзён:112
Унікальных праглядаў:98
Каментароў:0

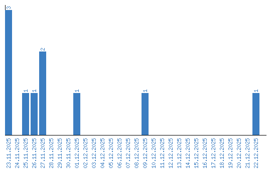
Дынаміка праглядаў па датах