BusphotoBUSPHOTO

Picture Statistics

321 KB


Picture ID:824868
File Size:321 KB
Author:ToBen
Publication Date:14.10.2025 20:28 EET
Days in Database:113
Unique views:62
Comments:0

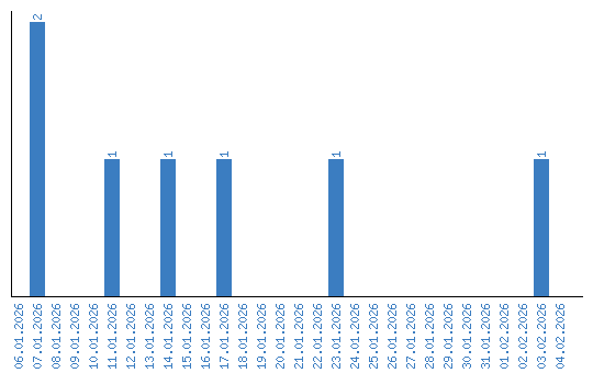
Viewing statistics by date