BusphotoBUSPHOTO

Picture Statistics

348 KB


Picture ID:824417
File Size:348 KB
Author:ernelia_transport
Publication Date:13.10.2025 18:59 EET
Days in Database:109
Unique views:102
Comments:0

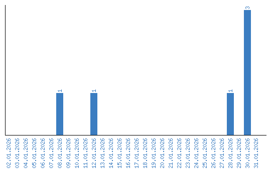
Viewing statistics by date