BusphotoBUSPHOTO

Picture Statistics

675 KB


Picture ID:817362
File Size:675 KB
Author:DerJan162
Publication Date:29.09.2025 22:08 EET
Days in Database:131
Unique views:168
Comments:0

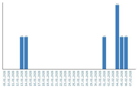
Viewing statistics by date