BusphotoBUSPHOTO

Picture Statistics

378 KB


Picture ID:816869
File Size:378 KB
Author:ToBen
Publication Date:28.09.2025 21:19 EET
Days in Database:128
Unique views:58
Comments:0

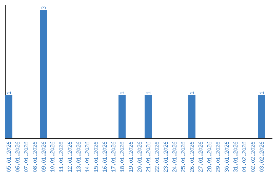
Viewing statistics by date