BusphotoBUSPHOTO

Picture Statistics

4318 KB


Picture ID:814924
File Size:4318 KB
Author:Civibusportesi5114
Publication Date:23.09.2025 13:42 EET
Days in Database:131
Unique views:144
Comments:0

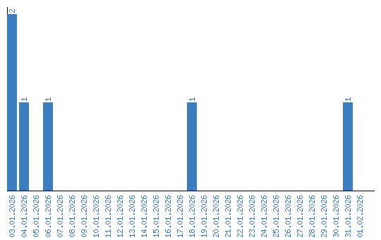
Viewing statistics by date