BusphotoBUSPHOTO

Picture Statistics

565 KB


Picture ID:813808
File Size:565 KB
Author:Krivich Ilya
Publication Date:20.09.2025 18:13 EET
Days in Database:134
Unique views:174
Comments:0

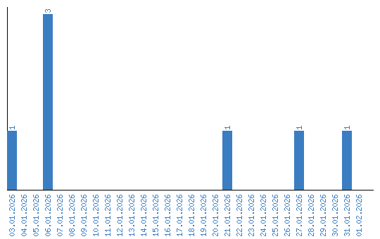
Viewing statistics by date