BusphotoBUSPHOTO

Picture Statistics

252 KB


Picture ID:81183
File Size:252 KB
Author:olegp
Publication Date:04.07.2013 22:57 EET
Days in Database:4556
Unique views:189
Comments:0

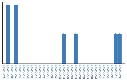
Viewing statistics by date