BusphotoBUSPHOTO

Picture Statistics

1138 KB


Picture ID:811162
File Size:1138 KB
Author:TTony
Publication Date:14.09.2025 16:28 EET
Days in Database:120
Unique views:122
Comments:0

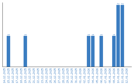
Viewing statistics by date