BusphotoBUSPHOTO

Picture Statistics

332 KB


Picture ID:80736
File Size:332 KB
Fotografato da:Lauri79
Publication Date:29.06.2013 23:32 EET
Days in Database:4561
Unique views:294
Comments:0

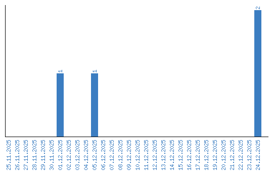
Viewing statistics by date