BusphotoBUSPHOTO

Picture Statistics

315 KB


Picture ID:806228
File Size:315 KB
Author:ToBen
Publication Date:03.09.2025 00:32 EET
Days in Database:158
Unique views:77
Comments:0

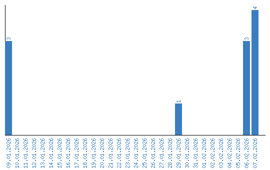
Viewing statistics by date