BusphotoBUSPHOTO

Picture Statistics

6045 KB


Picture ID:803848
File Size:6045 KB
Author:MAZ203069
Publication Date:28.08.2025 09:12 EET
Days in Database:160
Unique views:46
Comments:0

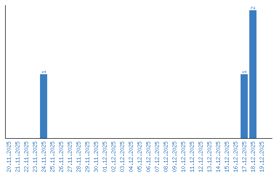
Viewing statistics by date