Database
Models
სისტემების სია
ქვეყნები და რეგიონები
ინფორმაციის ბაზაში ცვლილება
დამატებითი
სიახლეები და ქრონოლოგია
სხვა
ფოტოკონკურსი
რუკები
საიტები
კომენტარები
განახლებები
ახალი ფოტოები
სიახლეების სია
ყველა განახლება
წესები
კრიტერიუმი სურათების ასატბირთად
სურათის ინფორმაციის წესები
Feedback
ძებნა
სურათების ძებნა
ტრანსპორტის ძებნა
კომენტარების ძებნა
ავტორების ძებნა
შესვლა
რეგისტრაცია
ქართული ენა
Русский
Čeština
Dansk
Deutsch
Eesti
English
Español
Suomi
Français
Íslenska
Italiano
Latviešu
Lietuvių
Magyar
Nederlands
Norsk
Polski
Português
Română
Slovenčina
Svenska
Türkçe
Беларуская
Български
Українська
ქართული ენა
עִבְרִית
العربية
فارْسِى
தமிழ்
日本語
汉语
BUSPHOTO
Picture Statistics
Picture ID:
803335
File Size:
417 KB
ავტორი:
POP
Publication Date:
26.08.2025 20:46 EET
Days in Database:
115
Unique views:
44
Comments:
0
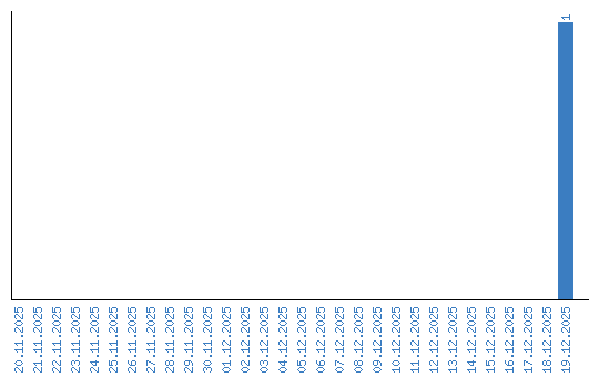
Viewing statistics by date
მთავარი
Feedback
წესები
რედაქცია
Dark Theme
© საიტის ადმინისტრაცია და სურათების ავტორები, 2002—2025
სურათების და სხვა ინფორმაციის გამოყენება ავტორის უფლების გარეშე აკრძალულია.