BusphotoBUSPHOTO

Picture Statistics

145 KB


Picture ID:797149
File Size:145 KB
Author:beffan
Publication Date:12.08.2025 14:41 EET
Days in Database:171
Unique views:136
Comments:0

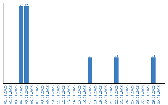
Viewing statistics by date