BusphotoBUSPHOTO

Picture Statistics

276 KB


Picture ID:79499
File Size:276 KB
Author:Verbounty
Publication Date:19.06.2013 19:02 EET
Days in Database:4614
Unique views:525
Comments:0

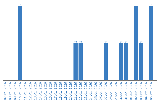
Viewing statistics by date