BusphotoBUSPHOTO

Picture Statistics

8114 KB


Picture ID:791534
File Size:8114 KB
Author:Azusa_Shirasu
Publication Date:28.07.2025 23:24 EET
Days in Database:187
Unique views:74
Comments:0

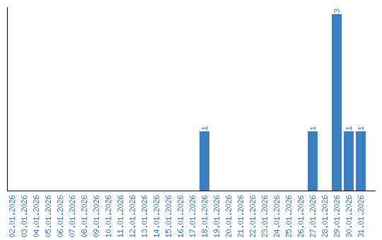
Viewing statistics by date