BusphotoBUSPHOTO

Picture Statistics

2231 KB


Picture ID:785729
File Size:2231 KB
Author:lordleon
Publication Date:13.07.2025 15:46 EET
Days in Database:208
Unique views:165
Comments:0

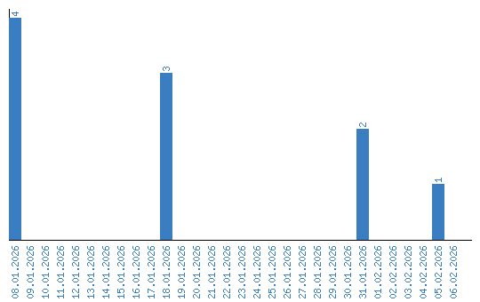
Viewing statistics by date