BusphotoBUSPHOTO

Picture Statistics

483 KB


Picture ID:777722
File Size:483 KB
Author:Foreste
Publication Date:24.06.2025 12:50 EET
Days in Database:229
Unique views:65
Comments:0

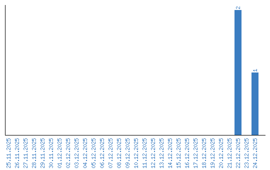
Viewing statistics by date