BusphotoBUSPHOTO

Picture Statistics

671 KB


Picture ID:774234
File Size:671 KB
Author:tsu321
Publication Date:15.06.2025 20:27 EET
Days in Database:187
Unique views:119
Comments:0

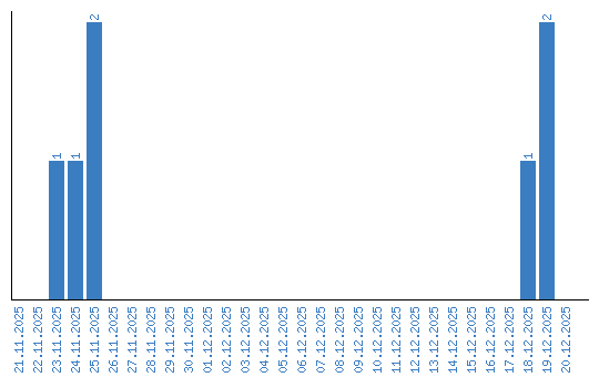
Viewing statistics by date