BusphotoBUSPHOTO

Picture Statistics

639 KB


Picture ID:774231
File Size:639 KB
Author:Enno's Buswelt
Publication Date:15.06.2025 20:26 EET
Days in Database:192
Unique views:55
Comments:0

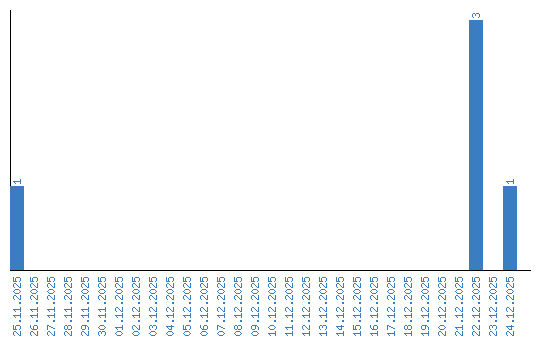
Viewing statistics by date