BusphotoBUSPHOTO

Picture Statistics

328 KB


Picture ID:773639
File Size:328 KB
Author:ToBen
Publication Date:14.06.2025 15:01 EET
Days in Database:237
Unique views:96
Comments:0

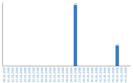
Viewing statistics by date