BusphotoBUSPHOTO

Picture Statistics

482 KB


Picture ID:77310
File Size:482 KB
Author:moroz
Publication Date:25.05.2013 22:19 EET
Days in Database:4638
Unique views:269
Comments:0

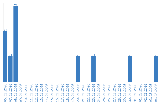
Viewing statistics by date