BusphotoBUSPHOTO

Picture Statistics

733 KB


Picture ID:768791
File Size:733 KB
Author:Noah_MD
Publication Date:02.06.2025 13:06 EET
Days in Database:249
Unique views:213
Comments:0

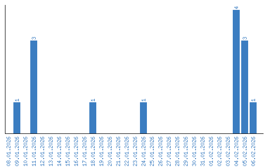
Viewing statistics by date