BusphotoBUSPHOTO

Picture Statistics

129 KB


Picture ID:766392
File Size:129 KB
Author:BusfotosAustria
Publication Date:28.05.2025 15:11 EET
Days in Database:250
Unique views:60
Comments:0

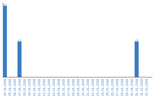
Viewing statistics by date