BusphotoBUSPHOTO

Picture Statistics

364 KB


Picture ID:765697
File Size:364 KB
Author:ToBen
Publication Date:26.05.2025 21:50 EET
Days in Database:252
Unique views:61
Comments:0

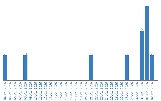
Viewing statistics by date