BusphotoBUSPHOTO

Picture Statistics

269 KB


Picture ID:765438
File Size:269 KB
Author:ToBen
Publication Date:26.05.2025 18:32 EET
Days in Database:249
Unique views:95
Comments:0

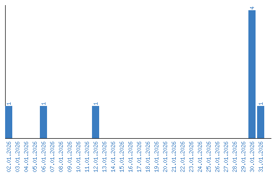
Viewing statistics by date