BusphotoBUSPHOTO

Picture Statistics

508 KB


Picture ID:758565
File Size:508 KB
Author:ToBen
Publication Date:10.05.2025 23:21 EET
Days in Database:270
Unique views:65
Comments:0

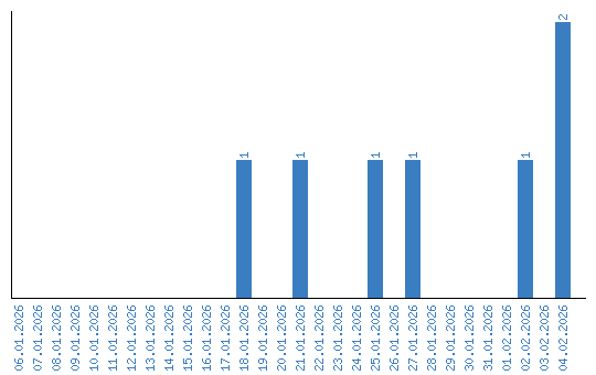
Viewing statistics by date