BusphotoBUSPHOTO

Picture Statistics

372 KB


Picture ID:757330
File Size:372 KB
Author:ToBen
Publication Date:08.05.2025 22:33 EET
Days in Database:273
Unique views:73
Comments:0

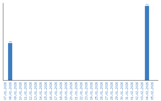
Viewing statistics by date