BusphotoBUSPHOTO

Picture Statistics

9006 KB


Picture ID:756439
File Size:9006 KB
Author:Odd
Publication Date:06.05.2025 19:27 EET
Days in Database:272
Unique views:161
Comments:0

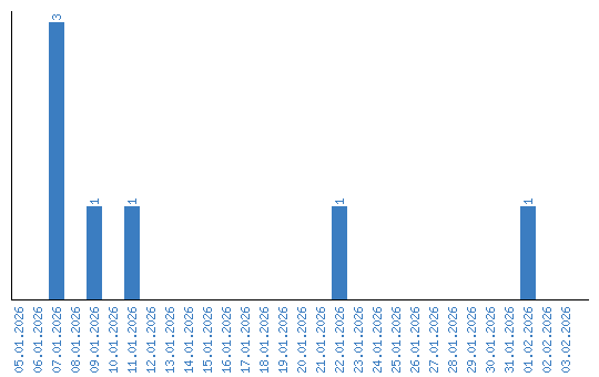
Viewing statistics by date