BusphotoBUSPHOTO

Picture Statistics

264 KB


Picture ID:75584
File Size:264 KB
Author:olegp
Publication Date:06.05.2013 20:00 EET
Days in Database:4650
Unique views:375
Comments:0

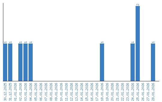
Viewing statistics by date