BusphotoBUSPHOTO

Picture Statistics

674 KB


Picture ID:754717
File Size:674 KB
Author:spotterHB
Publication Date:01.05.2025 16:23 EET
Days in Database:228
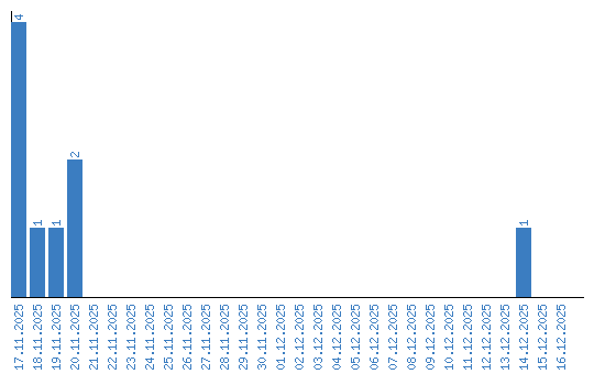
Unique views:166
Comments:0

Viewing statistics by date