BusphotoBUSPHOTO

Picture Statistics

1937 KB


Picture ID:753993
File Size:1937 KB
Author:Civibusportesi5114
Publication Date:29.04.2025 13:58 EET
Days in Database:282
Unique views:129
Comments:0

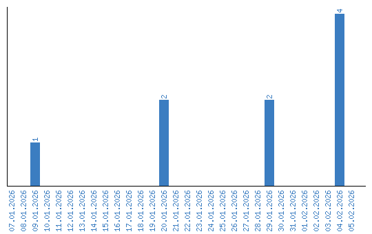
Viewing statistics by date