BusphotoBUSPHOTO

Picture Statistics

371 KB


Picture ID:753779
File Size:371 KB
Author:olegp
Publication Date:28.04.2025 20:27 EET
Days in Database:278
Unique views:70
Comments:0

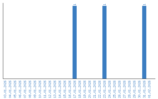
Viewing statistics by date