BusphotoBUSPHOTO

Picture Statistics

328 KB


Picture ID:75096
File Size:328 KB
Author:Максим
Publication Date:01.05.2013 19:14 EET
Days in Database:4658
Unique views:247
Comments:0

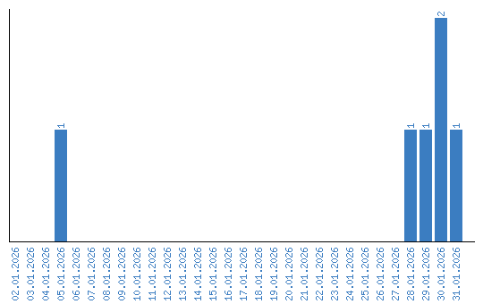
Viewing statistics by date