BusphotoBUSPHOTO

Picture Statistics

500 KB


Picture ID:750759
File Size:500 KB
Fotografato da:Xilai Bao12345
Publication Date:20.04.2025 18:42 EET
Days in Database:282
Unique views:120
Comments:0

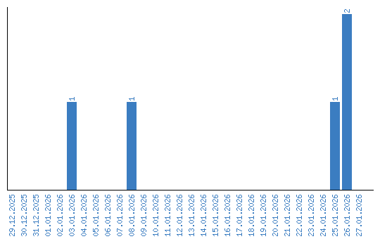
Viewing statistics by date