BusphotoBUSPHOTO

Picture Statistics

383 KB


Picture ID:748236
File Size:383 KB
Author:olegp
Publication Date:13.04.2025 15:42 EET
Days in Database:297
Unique views:205
Comments:0

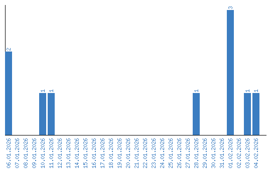
Viewing statistics by date