BusphotoBUSPHOTO

Picture Statistics

360 KB


Picture ID:744324
File Size:360 KB
Author:ToBen
Publication Date:02.04.2025 21:50 EET
Days in Database:305
Unique views:151
Comments:0

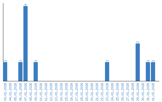
Viewing statistics by date