BusphotoBUSPHOTO

Picture Statistics

600 KB


Picture ID:744214
File Size:600 KB
Author:olegp
Publication Date:02.04.2025 20:45 EET
Days in Database:311
Unique views:108
Comments:0

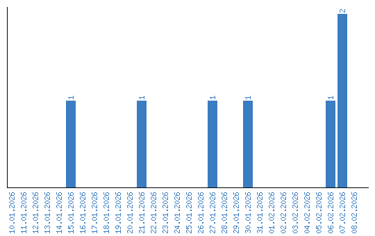
Viewing statistics by date