BusphotoBUSPHOTO

Picture Statistics

979 KB


Picture ID:740043
File Size:979 KB
Author:said
Publication Date:22.03.2025 18:28 EET
Days in Database:315
Unique views:129
Comments:0

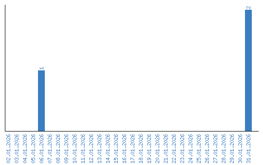
Viewing statistics by date