BusphotoBUSPHOTO

Picture Statistics

4465 KB


Picture ID:738771
File Size:4465 KB
Author:Block
Publication Date:19.03.2025 17:30 EET
Days in Database:323
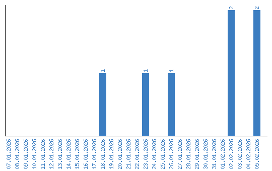
Unique views:110
Comments:0

Viewing statistics by date